全国威客小姐最新消息威客网接单平台 ,一品阁茶楼论坛官网入口 ,最新全国茶楼app免费的行情网站app软件合集,一凤一楼论坛官网

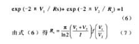
四探针技术测量薄层电阻的原理及应用

微信扫一扫,分享到朋友圈

四探针技术测量薄层电阻的原理及应用
展开阅读全文
客服微信:maxlee008
上一篇

国内晶圆探针卡龙头企业强一半导体获得哈勃投资

下一篇

电子探针的分析方法有哪些?

你也可能喜欢

微信 微信
微信
返回顶部